Das ist doch gar kein Problem. Das kann Ford bestimmt alles bei Wish oder Aliexpress bestellen.
Airbag Rückruf
-
Monti83 -
21. Januar 2021 um 00:36 -
Erledigt
-
-
Ich hab das bei beiden Mustangs durch, bzw. noch am Laufen für Beifahrer- und Fahrerairbag.
Macht euch keinen Stress. Ihr werdet vom KBA angeschrieben. Dann ruft ihr euren Händler an und macht einen Termin. Der Wechsel dauert etwas länger als zwei gemütliche Tassen Kaffee
. -
Was ist eigentlich falsch mit Euch?

Oben wurde bereits ausführlich geklärt, daß das den MK5 betrifft.
Zudem kann ja normalerweise jeder in seine Fahrzeugpapiere schauen, ob die e-Nummer paßt.
Geht das nun mal rein?
KEINER hier wird da benachrichtigt. Auch im Alter von über 10 Jahren wird ein MK4 nicht zum MK5!
-
Gibts einen besonderen Grund für diese Unfreundlichkeit? Hast doch selbst erst nachgefragt und in den Erklärungen bisher wurde das eher nicht endgültig geklärt.
Bei Audi war zuletzt auch so eine Rückrufaktion bei älteren Takata Airbags (betraf teilweise noch Fahrzeuge aus den 90ern) und wenn man sich den Grund anschaut geht es auch um das Alter der Airbags.
Wenn da steht Mondeo ab 2007 dürfte das schon einige hier betreffen.
-
Nö, da steht eindeutig eine e-Nummer.
Und keiner hier hat die in seinen Papieren gefunden.
-
Wenn da steht Mondeo ab 2007 dürfte das schon einige hier betreffen.
Nein tut es nicht. Das wurde doch mittlerweile eindeutig geklärt.
Ab 2007=Typ BA7 also MK4 und MK 5. Die e-Nummer ist maßgebend nicht die Datumsangabe. Und da dran siehst du dass der MK4 nicht betroffen ist.
-
Okay, gut. Allerdings würde sich die Nummer dann genau genommen nur auf ein einzelnes Modelljahr beziehen, es steht ja kein von-bis dort.
Aber was solls, solange wie von Deutschland nicht die Rede ist wird hier eh nix passieren.
-
Weltweit gesehen allerdings sind schon einige MK4-Mondeos betroffen. Allerdings nicht in D. Das betrifft eher die Fahrzeuge für den australischen Markt.
Es gibt daher dort eine Seite wo man mittels Eingabe der VIN feststellen kann ob das eigene Fahrzeug davon betroffen ist.
Funktioniert auch mit Mondeos für den europäischen bzw. deutschen Markt.
Wers ausprobieren will:https://www.ford.com.au/owners/vehicle…-airbag-recall/
-
macht euch nicht wild, von uns ist keiner betroffen.
-
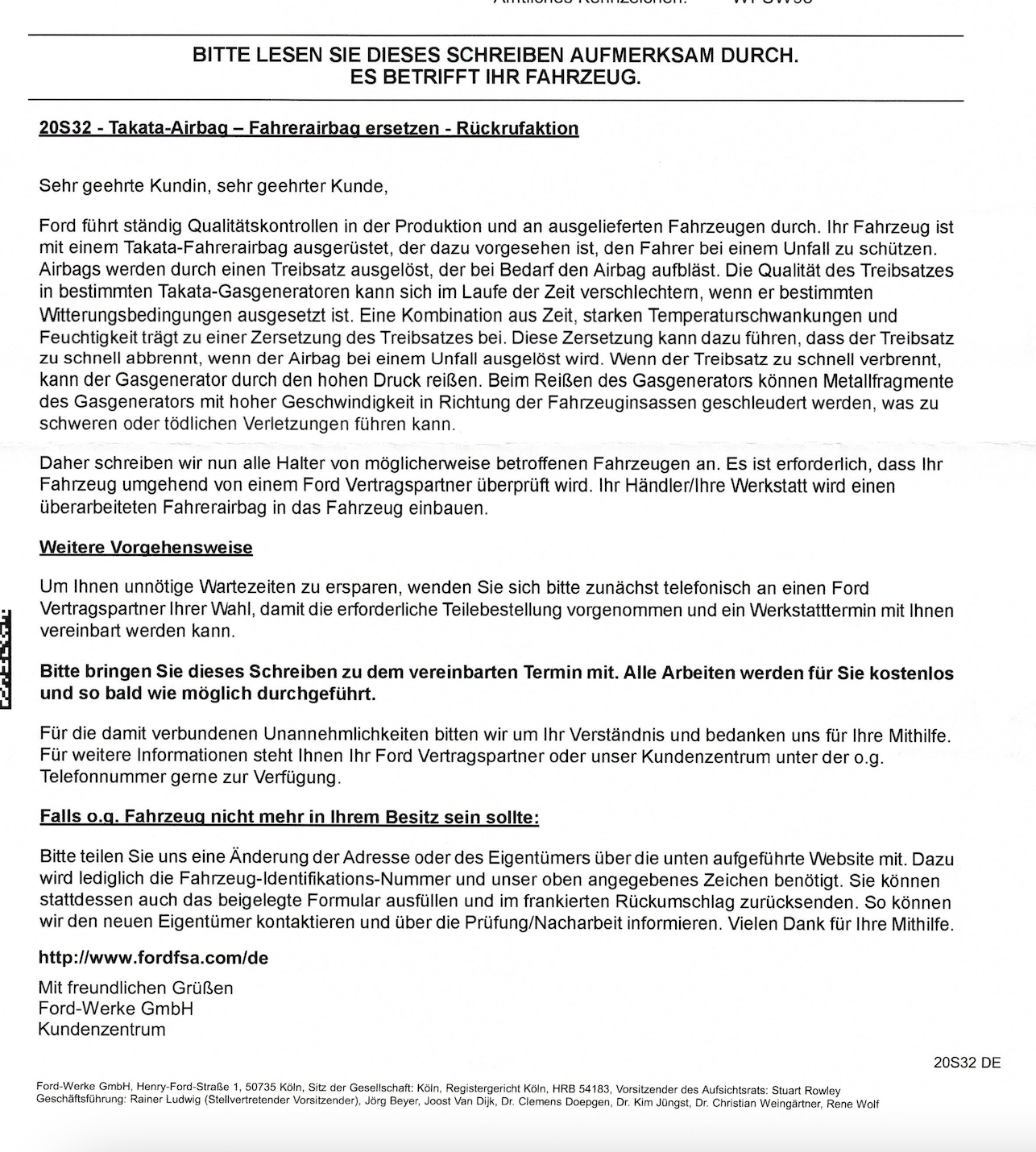
Tja also heute hat mein Bruder das besagte Anschreiben von Ford für seinen 2007er MK4 bekommen. (20S32 Austausch Takata Airbag)
Bin mal gespannt ob ich auch noch Post bekomme.
-
Mein Schreiben ist heute auch gekommen.
-
Neuer Airbag? Wäre geil. Meinen haben die beim Lenkrad-Umbau verkratzt.
-
-
Warum wartest du denn auch so lange damit...

-
Bei sowas stelle ich mir immer erst die Frage: Fake??
Ist der Absender vertrauenswürdig?
Warum die Frage nach Herausgabe vertraulicher Informationen wie die Anschrift von Dritten? Sowas könnte das Kraftfahrtbundesamt auch, die wissen wem derzeit welches Fahrzeug zugeordnet ist.
-
Jetzt mitmachen!
Sie haben noch kein Benutzerkonto auf unserer Seite? Registrieren Sie sich kostenlos und nehmen Sie an unserer Community teil!